PART – A
GENERAL INTELLIGENCE & REASONING
सामान्य बुद्धिमत्ताऔर तर्कशक्ति
Directions /दिशा-निर्देश (1-2): In each of the following questions select the related letters/ word/ number from the given alternatives. / निम्नलिखित प्रत्येक प्रश्न में दिए गए विकल्पों में से संबंधित अक्षर/शब्द/संख्या को चुनिए।
1. AGMS: CIOU:: DJPV:?
- BHNY
- STUV
- FLRX
- MNOP
Answer / उत्तर :- FLRX
2. 85: 42:: 139:?
-
68
-
69
-
70
-
67
Answer / उत्तर :- 69
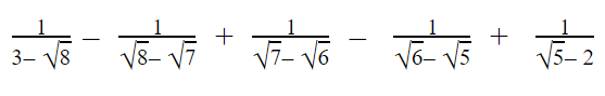
3.
-
80 – 9
-
64 – 8
-
36 – 6
-
7 – 49
Answer / उत्तर :- 80 – 9
4. ASY, BRX, CQW, __?__
-
DVP
-
DPV
-
PDV
-
PQD
Answer / उत्तर :- DPV
5. 56, 42, 30, 20, ___?___ ,6
-
15
-
12
-
18
-
14
Answer / उत्तर :- 12
16 * 4 * 5 * 14 * 6
-
÷ – = ×
-
– × + =
-
÷ × = +
-
÷ + = –
Answer / उत्तर :- ÷ × = +
7. Find out the missing number /लुप्त संख्या ज्ञात कीजिए।
-
10
-
11
-
12
-
13
Answer / उत्तर :- 13
5, 27, 61, 122, 213, 340, 509
-
27
-
61
-
122
-
509
Answer / उत्तर :- 27
9. If / यदि 2 × 2 = 16, 2 × 3 = 36, 2 × 4 = 64, then / तब 2 × 6 = ?
-
72
-
80
-
96
-
144
Answer / उत्तर :- 144
9 × 8 × 6 = 896;
7 × 6 × 8 = 678;
8 × 7 × 5 =?
-
875
-
785
-
578
-
758
Answer / उत्तर :- 785
(15– 10) ÷ (130 + 10) × 50 =?
-
1800
-
113
-
2000
-
123
Answer / उत्तर :- 113
12. If the letters in ‘PRABA’ are coded as 27595 and ‘THILAK’ are coded 368451, how can ‘BHARATHI’ be coded ? /यदि 'PRABA' के अक्षरों को 27595 और 'THILAK' को 368451 के रूप में कोडित किया जाता है, तो 'BHARATHI' को कैसे कोडित किया जा सकता है?
-
96575368
-
57686535
-
96855368
-
37536689
Answer / उत्तर :- 96575368
13. A father tells his son, “I was three times of your present age when you were born.” If the father’s present age is 48 years, how old was the boy 4 years ago ? / एक पिता अपने बेटे से कहता है, "जब आप पैदा हुए थे तब मैं आपकी वर्तमान उम्र का तीन गुना था।" यदि पिता की वर्तमान आयु 48 वर्ष है, तो 4 वर्ष पहले लड़के की आयु कितनी थी ?
-
24 years /वर्षों
-
8 years /वर्षों
-
12 years / वर्षों
-
16 years /वर्षों
Answer / उत्तर :- 8 years /वर्षों
-
Grand-daughter / पोती
-
Great-grand-daughter /पर - पोती
-
Aunt /चाची
-
Daughter /बेटी
Answer / उत्तर :- Grand-daughter / पोती
-
P and O
-
M and P
-
M and N
-
N and P
Answer / उत्तर :- N and P
16. If ‘EDITION’ is written as ‘IDETNOI’ how is ‘MEDICAL’ written in that code ? / यदि 'EDITION' को 'IDETNOI' लिखा जाता है, तो उसी कोड में 'MEDICAL' कैसे लिखा जाएगा?
-
DEMILAC
-
LACIMED
-
DIEMCAL
CADILEM
Answer / उत्तर :- DEMILAC
17.
Statements / कथन :-
- All English movies are violent. / सभी अंग्रेजी फिल्में हिंसक होती हैं।
- Some people like watching English movies. / कुछ लोग अंग्रेजी फिल्में देखना पसंद करते हैं।
- All people watching English movies like violence / अंग्रेजी फिल्में देखने वाले सभी लोग हिंसा पसंद करते है
- All people who like violence watch English movies. / हिंसा पसंद करने वाले सभी लोग अंग्रेजी फिल्में देखते हैं।
-
Only 1 follows /केवल 1अनुसरण करता है
-
Only 2follows /केवल 2 अनुसरण करता है
-
Neither 1 nor 2 follows / न तो 1 और न ही 2 अनुसरण करता है
-
Both 1 and 2 follow /1 और 2 दोनों अनुसरण करते हैं
Answer / उत्तर :- Only 1 follows /केवल 1अनुसरण करता है
-
1
-
2
-
3
-
4
Answer / उत्तर :- B
19. A paper is folded and cut as shown in the given question figures. When opened which of the four answer figures will it resemble ? / एक कागज को मोड़ा और काटा जाता है जैसा कि दिए गए प्रश्न आकृतियों में दिखाया गया है। खोले जाने पर यह चार उत्तर आकृतियों में से किस से मिलती जुलती होगी?
-
1
-
2
-
3
-
4
Answer / उत्तर :- C
20. Which of the following figures represents the relationship between Building material, Cement and Wood ? /निम्नलिखित में से कौन सी आकृति निर्माण सामग्री, सीमेंट और लकड़ी के बीच संबंध को दर्शाती है?
-
1
-
2
-
3
-
4
Answer / उत्तर :- B
Price :- ₹35
SSC GD 20 Model practice setEnglish .pdf
Type :- PDF
pages :- 198
No of set :- 20 Set
language : - English
Price :- ₹35
PART – B
GENERAL KNOWLEDGE & GENERAL AWARENESS
सामान्य ज्ञान और सामान्य जागरूकता
-
Ajanta / अजंता
-
Ellora / एलोरा
-
Elephanta / एलीफेंटा
-
Badami / बादामी
Answer / उत्तर :- Elephanta / एलीफेंटा
-
1973
-
1980
-
1987
-
1994
Answer / उत्तर :- 1973
-
Insulin / इंसुलिन
-
Glucose / शर्करा
-
Glycogen / ग्लाइकोजन
-
Fat / वसा
Answer / उत्तर :- Glycogen / ग्लाइकोजन
-
Fatty Acids / वसायुक्त अम्ल
-
Sugar / चीनी या शक्कर
-
Amino Acids / अमीनो अम्ल
-
Starch / स्टार्च
Answer / उत्तर :- Amino Acids / अमीनो अम्ल
-
Diencephalon / डाइएन्सेफेलॉन
-
Hypothalamus / हाइपोथेलेमस
-
Cerebrum / सेरब्रम
-
Control / नियंत्रण
Answer / उत्तर :- Cerebrum / सेरब्रम
-
Sodium /सोडियम
-
Tin /टिन
-
Radon / रेडोन
-
Radium / रेडियम
Answer / उत्तर :- Radon / रेडोन
-
Sodium / सोडियम
-
Beryllium / फीरोज़ा
-
Nitrogen / नाइट्रोजन
-
Boron /बोरान
Answer / उत्तर :- Sodium / सोडियम
-
1101000
-
1101010
-
1100110
-
1110000
Answer / उत्तर :- 1101010
-
Assam / असम
-
Maharashtra / महाराष्ट्र
-
Odisha / उड़ीसा
-
Uttarakhand / उत्तराखंड
Answer / उत्तर :- Assam / असम
-
will exert downward pressure on interest rates /ब्याज दरों पर नीचे का दबाव डालेगा
-
will have no effect on interest rates /ब्याज दरों पर नहीं पड़ेगा असर
-
will increase supply of loanable funds /ऋण योग्य धन की आपूर्ति में वृद्धि करेगा
-
will put upward pressure on interest rates /ब्याज दरों पर बढ़ेगा दबाव
Answer / उत्तर :- will put upward pressure on interest rates /ब्याज दरों पर बढ़ेगा दबाव
-
Rajasthan / राजस्थान
-
Chhattisgarh /छत्तीसगढ
-
Uttar Pradesh / उत्तर प्रदेश
-
Madhya Pradesh /मध्य प्रदेश
Answer / उत्तर :- Madhya Pradesh /मध्य प्रदेश
-
24
-
12
-
6
-
3
Answer / उत्तर :- 12
33. The Renaissance is a period in Europe, from the __________. / यूरोप में पुनर्जागरण की अवधि __________ है।
-
18th to the 20th century /18वीं से 20वीं सदी
-
14th to the 17th century /14वीं से 17वीं सदी
-
11th to the 13th century /11वीं से 13वीं सदी
-
7th to the 10th century / 7वीं से 10वीं सदी
Answer / उत्तर :-14th to the 17th century /14वीं से 17वीं सदी
-
Nanda / नंदा
-
Mughal / मुगल
-
Maurya / मौर्य
-
Haryanka / हर्यंका
Answer / उत्तर :- Mughal / मुगल
35. Who invented the contact lens ? /कॉन्टैक्ट लेंस का आविष्कार किसने किया ?
-
Enrico Fermi /एनरिको फर्मी
-
Adolf Gaston Eugen Fick /एडॉल्फ गैस्टन यूजेन फिक
-
Sandford Fleming / सैंडफोर्ड फ्लेमिंग
-
Benoit Fourneyron /बेनोइट फोरनेरॉन
Answer / उत्तर :- Adolf Gaston Eugen Fick /एडॉल्फ गैस्टन यूजेन फिक
-
translatory /रूपांतरित
-
spin / स्पिन
-
orbital /कक्षीय
-
vibrational / कंपन
Answer / उत्तर :- orbital /कक्षीय
-
Barometer /बैरोमीटर
-
Sphygmomanometer / रक्तदाबमापी
-
Hydrometer / हाइड्रोमीटर
-
Thermometer / थर्मामीटर
Answer / उत्तर :- Sphygmomanometer / रक्तदाबमापी
-
B. R. Ambedkar /बी आर अंबेडकर
-
A. K. Gopalan / ए.के. गोपालन
-
S Radhakrishnan / एस राधाकृष्णन
-
Vallabhbhai Patel / वल्लभभाई पटेल
Answer / उत्तर :- A. K. Gopalan / ए.के. गोपालन
-
12
-
16
-
18
-
31
Answer / उत्तर :-16
40. Who wrote the book “Five Point Someone: What Not to Do at IIT” ? /“फाइव पॉइंट समवन: व्हाट नॉट टू डू एट आईआईटी” पुस्तक किसने लिखी है?
-
Jhumpa Lahiri /झुम्पा लाहिड़ी
-
Amish Tripathi /अमीश त्रिपाठी
-
Kiran Bedi /किरण बेदिक
-
Chetan Bhagat / चेतन भगत
Answer / उत्तर :- Chetan Bhagat / चेतन भगत
PART – C
ELEMENTARY MATHEMATICS
प्रारंभिक गणित
41. The sum of the squares of 3 consecutive positive numbers is 365. The sum of the numbers is /3 क्रमागत धनात्मक संख्याओं के वर्गों का योग 365 है। संख्याओं का योग है
-
30
-
33
-
36
-
45
Answer / उत्तर :- 33
42. The units digit of the expression is / व्यंजक का इकाई अंक होगा
-
6
-
5
-
4
-
0
Answer / उत्तर :- 0
43. Simplify / सरल करें :-
-
37/78
-
37/13
-
74/78
-
74/13
Answer / उत्तर :- 37/78
-
5
-
3
-
1
-
0
Answer / उत्तर :- 5
45. A and B can do a piece of work in 8 days, B and C can do it in 24 days, while C and A can do it in 8 4 7 days. In how many days can C do it alone ? /A और B एक काम को 8 दिनों में कर सकते हैं, B और C 24 दिनों में कर सकते हैं, जबकि C और A 8 4 7 दिनों में कर सकते हैं। C इसे अकेले कितने दिनों में कर सकता है?
-
60
-
40
-
30
-
10
Answer / उत्तर :- 60
46 . The LCM of two numbers is 4 times their HCF. The sum of LCM and HCF is 125. If one of the numbers is 100, then the other number is /दो संख्याओं का LCM उनके HCF का 4 गुना है। एलसीएम और एचसीएफ का योग 125 है। यदि संख्याओं में से एक 100 है, तो दूसरी संख्या है
-
5
-
25
-
100
-
125
Answer / उत्तर :- 25
47. If I purchased 11 books for 100 and sold 10 books for 110, the percentage of profit per book sold is /यदि मैंने 100 में 11 पुस्तकें खरीदीं और 110 में 10 पुस्तकें बेचीं, तो बेची गई प्रति पुस्तक लाभ का प्रतिशत है
-
10
-
11·5
-
17·3
-
21
Answer / उत्तर :- 21
48. Ratio between the monthly incomes of A and B is 9: 8 and the ratio between their expenditures is 8: 7. If they save 500 each, find A’s monthly income. /A और B की मासिक आय का अनुपात 9:8 है और उनके व्यय का अनुपात 8:7 है। यदि वे 500 प्रत्येक की बचत करते हैं, तो A की मासिक आय ज्ञात कीजिए।
-
3,500
-
4,000
-
4,500
-
5,000
Answer / उत्तर :- 4,500
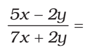
49. If x: y = 3: 4, then the value of equation / तो समीकरण मान निकले
-
7/25
-
7/23
-
7/29
-
7/17
Answer / उत्तर :- 7/29
50 . A sphere and a cube have equal surface areas. The ratio of the volume of the sphere to that of the cube is /एक गोले और एक घन के पृष्ठीय क्षेत्रफल समान होते हैं। गोले के आयतन का घन के आयतन से अनुपात है
-
⇃π: ⇃6
-
⇃6 : ⇃π
-
⇃2 : ⇃π
-
⇃ π: ⇃3
Answer / उत्तर :- ⇃6 : ⇃π
51. The difference between a discount of 35% and two successive discounts of 20% on a certain bill was ₹ 22. The amount of the bill was /एक निश्चित बिल पर 35% की छूट और 20% की दो क्रमिक छूट के बीच का अंतर ₹ 22 था। बिल की राशि थी
-
₹200
-
₹220
-
₹1,100
-
₹2,200
Answer / उत्तर :- ₹2,200
52. In measuring the sides of a rectangle, there is an excess of 5% on one side and 2% deficit on the other. Then the error percent in the area is /एक आयत की भुजाओं को मापने में एक ओर 5% अधिक और दूसरी ओर 2% की कमी होती है। तो क्षेत्र में त्रुटि प्रतिशत है
-
3.3 %
-
3.0 %
-
2.9 %
-
2.7 %
Answer / उत्तर :- 2.9 %
53. An equilateral triangle and a regular hexagon have the same perimeter. The ratio of the area of the triangle to that of the hexagon is /एक समबाहु त्रिभुज और एक नियमित षट्भुज का परिमाप समान होता है। त्रिभुज के क्षेत्रफल का षट्भुज के क्षेत्रफल से अनुपात है
-
3:2
-
2: 3
-
1:2
-
1:4
Answer / उत्तर :- 2: 3
54. Walking at the rate of 4 km an hour, a man covers a certain distance in 3 hours 45 minutes. If he covers the same distance on cycle, cycling at the rate of 16·5 km/hour, the time taken by him is /एक व्यक्ति 4 किमी प्रति घंटे की गति से चलकर एक निश्चित दूरी 3 घंटे 45 मिनट में तय करता है। यदि वह साइकिल पर समान दूरी को 16·5 किमी/घंटा की गति से साइकिल से तय करता है, तो उसके द्वारा लिया गया समय है
-
55.45 minutes / मिनट
-
54.55 minutes / मिनट
-
55.44 minutes / मिनट
-
45.55 minutes / मिनट
Answer / उत्तर :- 54.55 minutes / मिनट
55. In a certain time, the ratio of a certain principal and the simple interest obtained from it are in the ratio 10: 3 at 10% interest per annum. The number of years the money was invested is /एक निश्चित समय में, एक निश्चित मूलधन और उससे प्राप्त साधारण ब्याज का अनुपात 10: 3 प्रति वर्ष 10% ब्याज पर होता है। वर्षों की संख्या में पैसा निवेश किया गया था
-
1
-
3
-
5
-
7
Answer / उत्तर :- 3
56. A cloth merchant sold half of his cloth at 40% profit, half of remaining at 40% loss and the rest was sold at the cost price. In the total transaction his gain or loss will be /एक कपड़ा व्यापारी ने अपने आधे कपड़े को 40% लाभ पर, शेष का आधा 40% हानि पर और शेष को क्रय मूल्य पर बेचा। कुल लेन-देन में उसका लाभ या हानि होगा
20% gain
25% loss
10% gain
15% loss
Answer / उत्तर :- 10% gain
57. In an examination, 1100 boys and 900 girls appeared. 50% of the boys and 40% of the girls passed the examination. The percentage of candidates who failed /एक परीक्षा में 1100 लड़के और 900 लड़कियां शामिल हुए। 50% लड़कों और 40% लड़कियों ने परीक्षा पास की। असफल होने वाले उम्मीदवारों का प्रतिशत
-
45
-
45.5
-
50
-
54·5
Answer / उत्तर :- 54·5
58. When the price of cloth was reduced by 25%, the quantity of cloth sold increased by 20%. What was the effect on gross receipt of the shop? /जब कपड़े की कीमत में 25% की कमी की गई, तो बेचे गए कपड़े की मात्रा में 20% की वृद्धि हुई। दुकान की सकल प्राप्ति पर क्या प्रभाव पड़ा?
-
5% increase
-
5% decrease
-
10% increase
-
10% decrease
Answer / उत्तर :- 10% decrease
Directions /निर्देश (59-60): Study the following graph and answer the questions given below it. Production of salt by a company (in 1000 tonnes) over the years 111 /निम्नलिखित ग्राफ का अध्ययन करें और नीचे दिए गए प्रश्नों के उत्तर दें। एक कंपनी द्वारा नमक का उत्पादन (1000 टन में) वर्षों में 111
59. What was the percentage decline in the production of salt from 2003 to 2004? /2003 से 2004 तक नमक के उत्पादन में प्रतिशत गिरावट क्या थी?
-
64.2
-
180
-
62.4
-
107
Answer / उत्तर :- 64.2 %
60. The average production of 2004 and 2005 was exactly equal to the average production of which of the following pairs of years? /2004 और 2005 का औसत उत्पादन निम्नलिखित में से किस वर्ष के औसत उत्पादन के बराबर था?
-
2006, 2007
-
2005, 2006
-
2002, 2006
-
2001, 2005
Answer / उत्तर :- 2002, 2006
PART – D ( ऐच्छिक )
हिन्दी
इस अनुभाग अनुच्छेद दिए गए हैं , अनुच्छेद के बाद पांच प्रश्न दिए गए हैं अनुच्छेद को ध्यान से पढ़िए और उसके बाद दिए गए प्रश्नों के उत्तर लिखिए प्रत्येक प्रश्न के 4 संभावित उत्तर दिए गए हैं जिन पर A B C D क्रमांक अंकित है , उत्तरों में केवल एक ही सही है आपको सही उत्तर का चयन करना है
अनुच्छेद
पत्नी की वियोग से संत तिरुवल्लुवर की कवित्व - शक्ति और अधिक मार्मिक हो गयी जीवन और जगत का व्यापक अनुभव तो उन्हे था ही उन्होंने कुल तेरह सौ तीस “कुरल” रचे , जो तीन भागों में विभक्त है - धर्म , अर्थ और काम । धर्म खंड में ईश्वर-वंदना , वर्षा का महत्व ,सन्यासी का महत्व एवं धार्मिक भक्ति का वर्णन है । अर्थखंड में शासन, राजा के गुण और कर्म-शिक्षा ,अशिक्षा , शक्ति , समय और स्थान का बोध , विवेक , सुशासन , गुप्त चर मंत्री , सेना मैत्री आदि विषयों का वर्णन है । इन तीनों का निर्वाह करके व्यक्ति जीवन में महानतम लक्ष्य मोक्ष को प्राप्त कर सकता है ।
61. पत्नी के वियोग से तिरुवल्लुवर की कवित्व - शक्ति
-
कुंठित हो गई
-
छिन हो गई
-
और अधिक मार्मिक हो गई
-
पहले जैसी नहीं रही
उत्तर :- और अधिक मार्मिक हो गई
62. तिरुवल्लुवर को किस का व्यापक अनुभव था
-
जीवन का
-
संसार का
-
साधुओ की संगति का
-
जीवन और जगत का
उत्तर :- जीवन और जगत का
63. तिरुवल्लुवर के कुरल की रचना कितने भागों में की थी
-
एक
-
दो
-
तीन
-
चार
उत्तर :- तीन
निर्देश : - निम्नलिखित मुहावरों एवं लोकोक्तियों के सही अर्थ चुनिए
64. आंख खुलना
-
बहुत क्रोध करना
-
होश में आना
-
अत्यंत प्यार करना
-
उल्टा काम करना
उत्तर :- होश में आना
65. कमर सीधी करना
-
थकावट दूर करना
-
काम करना
-
बुरा भला करना
-
व्यर्थ परिश्रम करना
उत्तर :- थकावट दूर करना
66. खुदा गंजे को नाखून ना दे
-
सिद्धांतहीन होना
-
तुच्छ होना
-
अनाधिकारी को अधिकार ना मिलना
-
आपत्तियों से बचना
उत्तर :- अनाधिकारी को अधिकार ना मिलना
67. साढ़े-साती लगना
-
खुशी का समय आना
-
विपत्ति का समय आना
-
दुखरा रोना
-
कड़ी मेहनत करना
उत्तर :- विपत्ति का समय आना
निम्नलिखित वाक्य में रंगीन शब्द के लिए उपयुक्त विकल्प का चयन करें
68. समय का दुरुप्रयोग किसी भी अवस्था में उचित नहीं कहा जा सकता
-
दुरुपुयोग
-
दुरुपयोग
-
दूरपयोग
-
दूरप्रयोग
उत्तर :- दुरुपयोग
69. महर्षि बाल्मीकि ने रामायण की रचना की
-
बाल्मीकि
-
बाल्मीकी
-
वाल्मीकि
-
वलमिकी
उत्तर :- वाल्मीकि
70. पराधीनता की श्रीखंलया को तोड़ फेंकना देशभक्त का प्रथम कर्तव्य है ।
-
श्रीखंल
-
श्रीनखला
-
श्रृंखला
-
श्रीनखला
उत्तर :- श्रृंखला
निर्देश :- निम्नलिखित वाक्यों में खाली स्थान को भरने के लिए नीचे चार विकल्प दिए गए हैं उसमें से उपयुक्त विकल्प का चयन कीजिए
71. “ असंभव” शब्द..... के शब्दकोश में मिलता है
-
हिंदी
-
ब्रिटानिका
-
मूर्खों
-
विद्वान
उत्तर :- मूर्खों
72. ज्योतिष चमत्कार नहीं है , एक ...... है
-
जाप
-
विज्ञान
-
कला
-
पद्धति
उत्तर :- विज्ञान
73. महादेवी वर्मा को आधुनिक युग की ...... कहा जाता है ।
-
महान कवयित्री
-
मीरा
-
देवदासी
-
राधा
उत्तर :- मीरा
74. पुराणों में वर्णित कथाओं को ......कथाएं कहते हैं ।
-
अध्यात्मिक
-
किंवदंती
-
पौराणिक
-
दैवी
उत्तर :- पौराणिक
75. ..... तारसप्तकों के सुधार माने जाते हैं ।
-
सुमित्रानंदन पंत
-
अज्ञेय
-
निराला
-
प्रसाद
उत्तर :- अज्ञेय
76. हिंदी भाषा की लिपि है :-
-
प्रकृत
-
देवनागरी
-
पाली
-
इनमे से कोई नहीं
उत्तर :- देवनागरी
77. “चराचर” का सही विकल्प है
-
जड़
-
चेतन
-
जड़ एवं चेतन
-
चलने वाला
उत्तर :- जड़ एवं चेतन
78. “अक्षय” का शाब्दिक अर्थ है
-
कभी नष्ट ना होने वाला
-
नष्ट होने वाला
-
फैलने वाला
-
इनमें से कोई नहीं
उत्तर :- कभी नष्ट ना होने वाला
79. “समय की दृष्टि से अनुकूल” के लिए सही शब्द का चयन कीजिए :-
-
अनुकूल
-
समयानुकूल
-
प्रतिकूल
-
इसमें से कोई नहीं
उत्तर :- समयानुकूल
80. “निर्वासित” शब्द में कौन सा प्रत्यय है
-
इत
-
सित
-
इक
-
इनमे से कोई नहीं
उत्तर :- सित
PART – D
ENGLISH
Directions (61 – 62): In the following questions some of the sentences have errors and some have none. Find out which part of the sentence has an error. The number of that part is your answer. If there is no error, the answer is (D).
61. Last night I dream I was a Sheikh on the 169th floor of Burj Khalifa. No error.
-
Last night I dream
-
I was a Sheikh on the 169th floor
-
of Burj Khalifa.
-
No error.
Answer : - Last night I dream
62. As soon asthe lion saw the deer he began to run after it. No error.
-
As soon as
-
the lion saw the deer
-
he began to run after it.
-
No error.
Answer : - No error.
Directions (63 – 64): In the following questions sentences are given with blanks to be filled in with an appropriate word(s). Four alternatives are suggested for each question. Choose the correct alternative out of the four.
63. He travelled all ______ the world when he was eighty years old.
-
in
-
over
-
with
-
of
Answer : - over
64. Dr. Sharma concluded his speech ______ stressing on Buddha’s teachings of the importance of charity.
-
by
-
with
-
at
-
in
Answer : - by
Directions (65 – 66): In the following questions out of the four alternatives, choose the one which best expresses the meaning of the given word.
65. Benevolent
beneficial
kind
helpful
supportive
Answer : - kind
66. Ancestors
-
extinct tribes
-
relatives
-
forefathers
-
old people
Answer : - forefathers
Directions (67 – 68): In the following questions choose the word opposite in meaning to the given word.
67. Gloomy
-
radiant
-
fragrant
-
melodious
-
illusory
Answer : - radiant
68. Blessing
-
dull
-
curse
-
hurt
-
harsh
Answer : - curse
Directions (69 – 71): In the following questions four alternatives are given for the idiom/phrase printed in bold in the sentence. Choose the alternative which best expresses the meaning of the idiom/phrase.
69. Helena was over head and ears in love with Demetrius.
-
carefully
-
completely
-
brilliantly
-
cautiously
Answer : - completely
70. Gopi works by fits and starts.
-
consistently
-
irregularly
-
in high spirits
-
enthusiastically
Answer : - enthusiastically
71. Naresh Goyal had to stand on his feet very early in his life.
-
to be physically strong
-
to be independent
-
to stand erect
-
to be successful
Answer : - to be independent
Directions (72 – 74): In the following questions a part of the sentence is printed in bold. Below are given alternatives to the bold part at (1), (2) and (3) which may improve the sentence. Choose the correct alternative. In case no improvement is needed your answer is (4).
72. The strong breeze blew his hat away.
-
The strong air
-
The strong breath
-
The strong wind
-
No improvement
Answer : - The strong wind
73. The Japanese are hardly working people.
-
a hard working people
-
a hardly working people
-
hard working people
-
No improvement
Answer : - hard working people
74. The monkey was seated at the foot of a tree.
-
bottom
-
end
-
root
-
No improvement Directions
Answer : - root
(75 – 77): In the following questions out of the four alternatives, choose the one which can be substituted for the given words/ sentence.
75. Instrument to measure atmospheric pressure
-
metronome
-
compass
-
pedometer
-
barometer
Answer : - barometer
76. One who tends to take a hopeful view of life
-
magnate
-
Creator
-
pacifist
-
optimist
Answer : - optimist
77. Belonging to all parts of the world
-
common
-
universal
-
worldly
-
international
Answer : - universal
Directions (78 – 80): In the following questions groups of four words are given. In each group, one word is correctly spelt. Find the correctly spelt word.
78.
-
character
-
charecter
-
charactar
-
chaerector
Answer : - character
79.
-
drunkeness
-
drunkenness
-
durnkness
-
drunkennes
Answer : - drunkenness
80.
-
surprise
-
supprise
-
suprise
-
surprize
Answer : - surprise











Thank 🤞
ReplyDelete